La tasación es un documento legal donde un tasador certificado oficialmente establece el valor de un bien. Su propósito es determinar el valor real del bien para los siguientes fines:
- Garantía de una hipoteca o préstamo.
- Determinación del valor razonable.
- Evaluación del patrimonio.
Las tasaciones suelen ser indispensables en situaciones de constitución de hipoteca, compraventa, divorcio y reparto de herencia.
Índice de contenidos
Factores que influyen en una tasación
En la tasación influyen diversos factores relacionados con el tipo de bien, sus características y el método de tasación que empleará el profesional. A continuación, Cocampo describe en detalle los criterios considerados en la tasación de un bien.
Bienes que pueden ser tasados
La valoración se realiza sobre bienes inmuebles y derechos. Entre los bienes inmuebles que se pueden tasar se encuentran: edificios y elementos de un edificio, fincas rústicas, viviendas, locales, solares y terrenos.
Los derechos susceptibles de valoración son: derecho de superficie, concesión administrativa, nuda propiedad, usufructo, usos, opciones de compra, entre otros.
Quién realiza la tasación
Las tasaciones solo pueden ser realizadas por empresas homologadas e inscritas en el Registro Especial del Banco de España. Estas sociedades son las responsables de la formación, acreditación y supervisión de los tasadores.
El tasador es el experto encargado de realizar las valoraciones, y su especialización varía dependiendo del bien a tasar. Por ejemplo, para tasar una vivienda, los profesionales adecuados son arquitectos, arquitectos técnicos, aparejadores e ingenieros. En el caso de una finca rústica, el tasador debe ser un ingeniero agrónomo, agrícola, forestal, entre otros.
Tipos
Los tipos de tasación de bienes inmuebles incluyen:
- Tasación de viviendas (pisos o chalets).
- Tasación de fincas rústicas.
- Tasación de terrenos.
- Tasación de garajes.
- Otros inmuebles.
En la tasación de estos bienes puede influir la finalidad de la realización del informe, ya sea una tasación para compraventa, hipoteca, divorcio, herencia y negocio.
Aspectos del inmueble
Los tasadores tienen en cuenta varios aspectos del inmueble al llevar a cabo la tasación. Entre ellos se encuentran la ubicación del bien, la superficie construida en él, el estado de conservación, la distribución, la orientación y la calidad de las instalaciones.
En el caso de las fincas rústicas, el tasador considera otros factores influyentes en la valoración, como la calidad del suelo, la actividad que desarrolla, las instalaciones construidas en él, la zona geográfica y el tipo de clima.
Métodos de tasación
La Orden ECO 805/2003, de 27 de marzo, establece los siguientes métodos de tasación:
- Método de comparación.
- Método de coste.
- Método residual.
- Método de actualización de rentas.
Estos métodos proporcionan el valor de mercado, el valor hipotecario y el valor de reemplazamiento, también conocido como valor de reposición del bien tasado.
Método de comparación
Con el método de comparación se obtiene el valor del inmueble comparándolo con otros inmuebles del mercado cuyas características son afines.
¿Cuándo se aplica el método de comparación?
El método de comparación se aplicará en aquellos mercados donde existe representación suficiente para realizar la comparativa con otros inmuebles. Se requiere tener información de al menos 6 transacciones u ofertas de inmuebles comparables que reflejen adecuadamente la situación actual del mercado.
¿Cómo se calcula el método de comparación?
Los parámetros que se siguen al calcular el valor de un inmueble por el método de comparación son:
1. Establecer cuáles serán las cualidades y características del inmueble a tasar que influirán en el valor de la tasación.
2. Estudio de mercado del inmueble, en especial transacciones y ofertas reales para conocer los precios actuales de compraventa.
3. Selección de una muestra representativa de los precios obtenidos en el estudio anterior.
4. Homogeneización de comparables según criterios, coeficientes y ponderaciones.
5. Establecer el valor del inmueble después de deducir los gastos de comercialización, basado en los precios estándar de los inmuebles similares.
En el caso de la valoración de fincas rústicas mediante el método de comparación, las similitudes se establecen según valores unitarios por hectáreas existentes en el mercado para las distintas clases de tierra, tipos de cultivos y aprovechamientos.
Método de coste
El método de coste consiste en obtener el valor de un inmueble teniendo en cuenta aquellos costes actuales de mano de obra y materiales de construcción de otro inmueble similar. Luego, se deduce la depreciación del inmueble a tasar causada por el tiempo.
¿Cuándo se aplica el método de coste?
El método de coste es aplicable a toda clase de edificios y elementos de un edificio. En el cálculo del valor del inmueble, se toman en cuenta proyectos de construcción o rehabilitación para obtener el valor técnico. Este procedimiento se emplea en inmuebles donde no es posible aplicar el método de comparación debido a la falta de otros inmuebles similares para realizar la comparativa.
¿Cómo se calcula el método de coste?
En el método de coste se determina el Valor de Reemplazamiento o Valor de Reposición. Se calcula primero el Valor de Reemplazamiento Bruto (VRB) y a partir de este el Valor de Reemplazamiento Neto (VRN).
El Valor de Reemplazamiento Bruto (VRB) se estima sumando todos los costes necesarios para la construcción de un inmueble similar al que estamos tasando. El cálculo tiene en cuenta el valor del terreno, el valor de la construcción y los costes administrativos que conlleva.
El Valor de Reemplazamiento Neto (VRN) se obtiene restando la depreciación física y funcional del inmueble al Valor de Reemplazamiento Bruto. El resultado tras la deducción proporciona el Valor de Reemplazamiento Neto que se utilizará en la tasación del inmueble según método de coste.
En resumen, el procedimiento para calcular el método de coste es:
1. Cálculo del Valor de Reemplazamiento Bruto.
2. Cálculo de la depreciación sufrida por el inmueble.
3. Obtención del Valor de Reemplazamiento Neto a partir del Valor de Reemplazamiento Bruto menos depreciaciones.
Método residual
El método residual se emplea para tasar un suelo urbano o urbanizable.
¿Cuándo se aplica el método residual?
Se aplicará el método residual para determinar el valor de solares, solares edificados o inmuebles en proceso de rehabilitación. Este método es utilizado cuando no es posible aplicar el método de comparación por ausencia de inmuebles similares.
¿Cómo se calcula el método residual?
Hay dos formas de calcular el método residual: el procedimiento estático y el procedimiento dinámico.
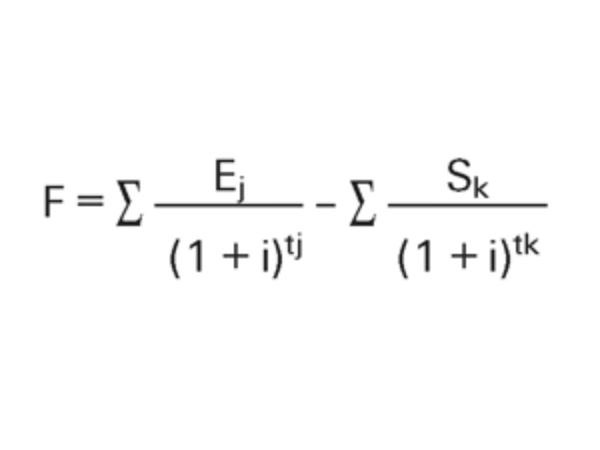
Procedimiento de cálculo dinámico
Para obtener el valor residual a partir del procedimiento dinámico, es necesario calcular los flujos de caja, elegir el tipo de actualización y luego aplicar la siguiente fórmula de cálculo:

En donde:
F = Valor del terreno.
Ej = Importe de los cobros previstos en el momento J.
Sk = Importe de los pagos previstos en el momento K.
tj =Tiempo estimado entre la valoración y cada cobro.
tk= Tiempo estimado entre la valoración y cada pago.
i = Tipo de actualización elegido.
Procedimiento de cálculo estático
Para el cálculo del valor residual por procedimiento estático, se deben estimar los costes de construcción, el valor en venta del inmueble y el margen de beneficio de la figura del promotor. Finalmente, se aplicará la siguiente fórmula:

En donde:
F = Valor del terreno.
VM = Valor del inmueble una vez construido.
b = Beneficio del promotor.
Ci = Cada uno de los pagos necesarios.
Método de actualización de rentas
Por el método de actualización de rentas se obtiene el valor del inmueble a partir de su potencial para generar beneficios. Se calcula el valor técnico que permite determinar tanto el valor de mercado como el valor hipotecario de un bien.
¿Cuándo se aplica el método de actualización de rentas?
El método de actualización de rentas se aplica en la valoración de aquellos inmuebles capaces de producir ingresos. Se utiliza sobre todo en inmuebles arrendados.
¿Cómo se calcula el método de actualización de rentas?
Al calcular el valor del inmueble según el método de actualización de rentas hay que tener en cuenta:
1. Historial de rentas de alquiler de los dos últimos años.
2. Informe de la evolución de los precios en el mercado inmobiliario.
3. Determinar elementos especulativos como ofertas y negociaciones.
Una vez que se dispone de esta información, la valoración se realiza estimando los flujos de caja, el valor del inmueble al finalizar el período de explotación (valor de reversión) y selección del tipo de actualización. Por último, la fórmula a utilizar es la siguiente:

En donde:
VA = Valor actual.
Ej = Cobros previstos al inmueble en el momento J.
Sk = Pagos previstos en el momento K.
tj = Tiempo transcurrido entre la valoración y los cobros (Ej).
tk = Tiempo transcurrido entre la valoración y los pagos (Sk).
i = Tipo de actualización seleccionado.
n = Tiempo estimado entre la tasación y el período final de ingresos esperados.
Proceso de tasación
El proceso de tasación empieza con la recogida de datos y documentos importantes del inmueble y la visita por el tasador.
Comprobaciones básicas
Al determinar el valor del bien se realizan una serie de comprobaciones necesarias para conocer las características y la situación del bien objeto a tasar. La Orden ECO 805/2003, de 27 de marzo, establece al menos las siguientes comprobaciones:
- La identificación física del inmueble, mediante la visita del experto cualificado, para comprobar su superficie y demás características que constan en las descripciones de la documentación recopilada.
- El estado de ocupación del inmueble, uso o explotación destinada.
- Si el inmueble es una vivienda, se comprueba si tiene el régimen de protección pública.
- Si el inmueble esta adecuado al plan urbanístico vigente y valoración a derecho de aprovechamiento urbanístico.
Durante la visita del inmueble y la revisión del catastro, el tasador llevará a cabo estas cinco comprobaciones obligatorias.
Visita al inmueble
El tasador debe realizar una visita al inmueble para llevar a cabo una inspección detallada de todas sus características, tanto internas como externas.
Si el inmueble es una vivienda particular, el tasador tendrá en cuenta los servicios urbanos cercanos, como transporte público, centros de salud, hospitales, supermercados, entre otros servicios. Además, estudiará el estado del edificio, su mantenimiento y las reformas realizadas en él.
Cuando se tasan fincas rústicas, el tasador debe evaluar aquellos aspectos técnicos, ambientales y legales. Las fincas rústicas son propiedades complejas y durante la visita, el tasador verifica los usos del suelo, las actividades que desarrolla y la calidad del suelo.
Informe
Los informes de tasación se elaboran y presentan de acuerdo con la estructura propuesta por la Orden ECO 805/2003, de 27 de marzo.
Fuentes
- Orden ECO 805/2003, de 27 de marzo.
